盖亚简谱_盖亚奥特曼简谱(2)
A telescope , called Gaia, is being designed by astronomers in Europe, and it couldn t be more different from Pan STARRS, which
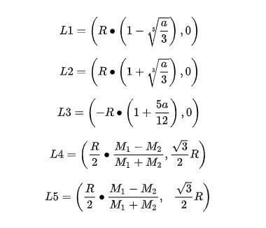
要么凝视太空40万年,要么点进来一睹为快,4万颗恒星同时闪耀
万灵永恒.盖亚解析 修改申精版
天文学家利用LAMOST和Gaia发现591颗高速星
数码宝贝故事里的世界树 动态平衡 荷马 统治者盖亚分别是什么主机
求大神翻译
预告 上双 生态联盟 馆校项目汇报展开幕仪式
在日本梦比优斯的人气为何会远超盖亚 后者可是平成巅峰神作
印尼船宿丨舒适宽敞的Gaia Love豪华船宿2021 2024年行程 四王 科莫多 班达海 阿洛,2021.1更新
如果阿古茹也有至高型是会比盖亚更强还是两人平手
重磅推出 第二届中国空间数据智能学术会议SpatialDI 2021日程通知
迪迦奥特曼 大古为什么十年没登场 长野博说圆谷没邀请他
同为平成三杰,为何原生之初里戴拿待遇那么好,原来是编剧搞事
外星人在呼叫 15亿光年外,科学家发现重复六次的宇宙神秘信号








